Mobile menu toggle

EmWave2: Like a Dedicated iPod for Meditation
 [Review]

By

emwave-2

We’re all about calm abiding here at Cult of Mac (you guys read the comments, right?) So we were pleased to try out the portable version of emWave2, a computer-assisted meditation program for Mac.

The emWave2 ($229) is useful for all of those anxiety-inducing situations people face when not in front of their computers. A bit bigger than the iPod Mini, it comes with an ear sensor that plugs into a USB key and a software program that monitors your heart rhythms and breathing, plus a CD training guide.

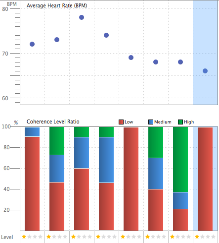
Charting my relaxation progress with the EmWave2.

 

But — and the buts come faster than you can say “namaste” — it costs $229 for a device that only does one thing. If you’ve already got a smartphone, iPod, iPad this is one more gadget to carry around. (And there are plenty of less sophisticated but effective meditation programs available for those devices).

Still, I could see buying this for my gadget-wary European relatives — most of whom are also scared senseless of airplanes. They could practice with the desktop version, then take the portable one on the plane for take-off-and-landing panic attacks. It’s discreet, but looks vaguely like some kind of medical contraption, which they would probably like. (The CD says it’s also good for individuals with heart rhythm irregularities, such as atrial fibrillation or premature atrial contractions as well as fidgety children.)

Here’s how it works: You charge it by connecting it to your Mac’s USB port, turn it on and put your thumb on the sensor. The device has LEDs that change color based on your heart rate and breathing rhythm.

Once you put your thumb on the sensor or connect the wired sensor to your earlobe, the emWave2 takes your pulse and develops a breathing sequence based on heart rhythm.

The goal of the gadget is to coach you into a zone called “coherence,” defined as a highly efficient state where all the systems of the body work together in harmony. A breathing pacer gets you going steady, while you concentrate on pleasant memories and feelings centered around your heart.

It’s pretty straightforward — you put your finger on it, breathe and watch the lights. The lights move up, you breathe in; lights go down, you breathe out. The light at the top of the device goes red if you’re in low coherence, blue if you’re getting closer and green for full coherence.

The meditation garden game.

During a trial run, I managed to stay in the green zone after a few breaths (exciting!) The more time you spend in coherence, the more green lights are in the column. The reward cycle is full when all the green lights are on. The manual suggests practicing 10-minute sessions per week. Given how small the device is, you can pretty much practice anywhere.

The packaged software allows you to run live sessions using your emWave2 handheld device as a sensor connected to your computer. Developer Heartmath offers a free training class with the Coherence Coach game in order to better understand how to breathe.

The app lets you review all previous sessions and play other games like Healing Hands Visualizer and My Inspiration. The Garden Game is my favorite: by staying in coherence, new things appear in the garden — like water in the stream and additional colors.

[xrr rating=60%]

Comments

Your email address will not be published. Required fields are marked *

  • Subscribe to the Newsletter

    Our daily roundup of Apple news, reviews and how-tos. Plus the best Apple tweets, fun polls and inspiring Steve Jobs bons mots. Our readers say: "Love what you do" -- Christi Cardenas. "Absolutely love the content!" -- Harshita Arora. "Genuinely one of the highlights of my inbox" -- Lee Barnett.